
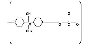
Although some structural variations are possible, the above formula represents the most common system and is formed by reaction of bisphenol A and phosgene. Its applications are almost always those which take advantage of its uniquely high impact strength and clarity. Recently, however, additional interest has resulted because of its low flammability. Some studies are currently underway to further improve this characteristic. Polycarbonate is a versatile blending material for polyester and acrylenitrile-butadiene-styrene.
Typical Applications: Headlights, microwave cookware, ophthalmic lenses, helmets, instrument cases and mechanical goods.
To Place an Order or Check Status of Order, Contact...
1246 High Street, Fairport Harbor, Ohio 44077 USA

CONTACT US